NFA (Non-Deterministic Finite Automata)
이번엔 "비결정적 유한 오토마타"이다.
역시 상태는 유한하지만 입력이 들어오면 이동할 상태가 비결정적이라는 뜻이다.
NFA는 다음으로 이루어져있다.
$M = (Q, \Sigma, q, F, s)$
- $Q$ : NFA상태들의 집합
- $\Sigma$ : 입력받은 String
- $q$ : 초기상태 ($q \in Q$)
- $F$ : AC를 받는 상태들의 집합($F \in Q$, 여러개 가능)
- $s$ : Transition Relation
DFA와 대부분 같은데 $s$의 의미만 다르다.
DFA는 이동할 상태가 결정적이기 때문에 경로가 유일하지만 NFA는 모든 경로로 이동을 할 수 있기 때문에 Relation이라는 용어를 쓰는 것 같다.
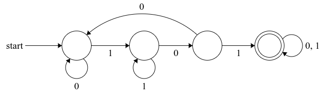
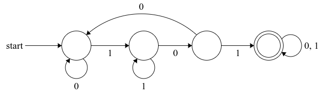
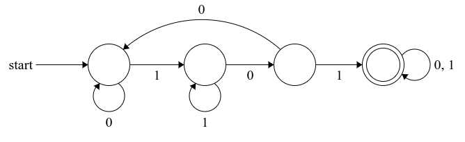
Problem X3 를 DFA로 그리면 다음과 같았었다.

이것을 NFA로 나타내면 다음과 같다.

뭔가 굉장히 단순해졌다.
여기에 X3을 AC하는 1010을 넣어보자.
1. $1 \rightarrow 2 \rightarrow 3 \rightarrow 4 \rightarrow 4$
2. $1 \rightarrow 1 \rightarrow 1 \rightarrow 1 \rightarrow 1$
3. $1 \rightarrow 1 \rightarrow 1 \rightarrow 2 \rightarrow 3$
같이 여러 경로가 가능할 것이다.
그 중에서 AC를 받을 수 있는 경로는 1번 경로만 가능하다.
위에서 봤듯이 NFA는 여러개의 경로를 시뮬레이션 하면서 한 가지 경로라도 AC를 받으면 NFA가 문제를 해결했다고 볼 수 있다.
당연히 DFA보다 많은 시간이 필요할 것 같은데 왜 사용할까?
우선 DFA보다 간략하기 때문에 생각하기 쉽다.
그리고 NFA로 나타낼 수 있다면 DFA로 나타낼 수 있다.
그래서 어떤 문제를 보면 NFA로 나타내보고 DFA로 바꾸는게 쉽다.
'기타 > 암호학' 카테고리의 다른 글
| [암호학] 11. Two-way Deterministic Push Down Automata (0) | 2023.01.03 |
|---|---|
| [암호학] 10. Push Down Automata (0) | 2022.12.30 |
| [암호학] 8. Pumping Lemma, Pigeonhole Principle (2) | 2022.12.23 |
| [암호학] 7. Deterministic Finite Automata (DFA) (0) | 2022.12.20 |
| [암호학] 6. 프로그래밍 언어론 (4) | 2022.12.16 |